آموزش مطلب قسمت 19: ضرب ماتریس
اگر شرایط و ضوابط ضرب ماتریس ها در متلب را به خوبی درک نکنید این عمل بسیار پر دردسر خواهد بود.
در این آموزش ما ضرب ماتریسها را به دوصورت مورد بررسی قرار خواهیم داد. بصورت دستی و با استفاده از متلب.
یکی از بهترین راهها برای اینکه بدانید ضرب ماتریسها در متلب را درک کرده اید این است که آنها را به صورت دستی بررسی کنید و سپس از Matlab برای بررسی نتیجه خود استفاده کنید.
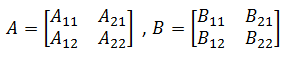
یادآوری نظریه ضرب ماتریس
بیایید ماتریس های زیر را در نظر بگیریم.

حاصلضرب ماتریس
در اینجا فرمول ضرب ماتریس های بالا آمده است،
به شدت توصیه می کنیم ویژگی های ضرب ماتریس و از همه مهمتر شرایطی را که لازم است دو ماتریس شرکت کننده در عملیات ضرب ماتریسها داشته باشند را مطالعه کنید.

به طور کلی، اگر A یک ماتریس n×m و B یک ماتریس m×p باشد، حاصلضرب ماتریس AB یک ماتریس n×p است که در آن عناصر m در ردیفهای A با عناصر m در پایین ستونها ضرب میشوند. از B
ضرب ماتریس عنصر به عنصر
در طرف دیگر، ضرب ماتریس عنصر به عنصر را داریم که یک عملیات ساده است، در اینجا از فرمول استفاده شده است.

این به سادگی حاصل ضرب ماتریس ها بصورت عنصر به عنصر است، این روش تنها زمانی کار می کند که ابعاد ماتریس ها برابر باشند. دقیق تر بگوییم، اگر A یک ماتریس n × m است، B باید یک ماتریس n × m باشد تا این کار عمل کند.
ضرب ماتریس در متلب
کد زیر امکان یافتن حاصل ضرب ماتریسی را در Matlab می دهد
C=A*B
و این کد برای یافتن حاصل ضرب ماتریس ها بصورت عنصر به عنصر است
C=A.*B
مثال های ضرب ماتریسها
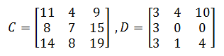
مثال 1
اگر در حالی که مقدار A و B را تغییر می دهیم همان منطق بالا را حفظ کنیم، اما بدانیم که C حاصلضرب ماتریس است و D ضرب عنصر به عنصر ماتریس است.

کد متلب
A=[1 2 2; 1 0 5; 3 1 2];
B=[3 2 5;3 0 0; 1 1 2];
C=A*B
D=A.*B
نتایج

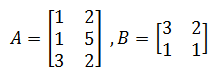
مثال 2

کد متلب
A=[1 2;1 5;3 2];
B=[3 2;1 1];
C=A*B
نتیجه

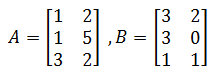
مثال 3

کد متلب
A=[1 2;1 5;3 2];
B=[3 2;3 0; 1 1];
D=A.*B
نتیجه

                        
            
				 
            
