آموزش متلب قسمت 13: محاسبه مشتق در متلب
در این تمرین به یکی از عملیات های اساسی حساب دیفرانسیل و انتگرال که مشتق سازی است می پردازیم.
ما در اینجا قصد نداریم وارد فرمول های مشتق شویم. در اینجا به کسانی که نیاز به محاسبه مشتق دارند کمک خواهیم کرد تا با استفاده از Matlab به سرعت آنچه را که به دنبال آن هستند، بدون نیاز به محاسبات دستی انجام دهند.
Matlab مجموعه ای از توابع داخلی در خود دارد که محاسبه مشتق را به راحتی امکان پذیر می کند.
فهرست مطالب
مشتق در متلب
مشتق یک مقدار ثابت در متلب
مشتق دوم در Matlab
مشتق جزئی در Matlab
مشتق یک ماتریس در Matlab
مشتق در متلب
مثال های زیر را در نظر می گیریم
مثال 1

مثال 2

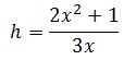
مثال 3

برای یافتن مشتق f، g و h در Matlab با استفاده از تابع syms، از کد زیر استفاده می کنیم.
syms x
f = cos(8*x)
g = sin(5*x)*exp(x)
h =(2*x^2+1)/(3*x)
diff(f)
diff(g)
diff(h)
که موارد زیر را برمی گرداند (میتوانید تنها یک تابع diff را اجرا کنید تا از نمایش چند جواب در یک زمان گیج نشوید)

مشتق بالا را میتوانیم بصورت زیر بنویسیم

مشتق از یک مقدار ثابت
می دانیم که مشتق هر جمله ثابت صفر است، اما اگر به دلایلی می خواهید مشتق یک مقدار ثابت را با استفاده از Matlab پیدا کنید، به این صورت عمل کنید.
constant = sym('5');
diff(constant)
مشتق دوم در Matlab
برای یافتن مشتق دوم در متلب از کد زیر استفاده کنید
diff(f,2)
یا
diff(diff(f))
هر دو نتیجه یکسانی خواهند داشت.
مشتق جزئی در Matlab
برای پیدا کردن مشتق یک عبارت حاوی بیش از یک متغیر، باید متغیری را که میخواهید متمایز باشد مشخص کنید، .
تابع diff به محاسبه مشتق جزئی عبارت کمک می کند
با در نظر گرفتن آن متغیر
مثال

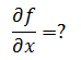
مشتق جزئی f نسبت به x چیست؟

در اینجا نحوه انجام این کار در Matlab آورده شده است
کد
syms x y
f = sin(x*y)
diff(f,x)
که نتیجه زیر را برمی گرداند

مشتق از یک ماتریس در Matlab
می توانید از همین روش برای یافتن مشتق یک ماتریس استفاده کنید.
اگر ماتریس A با مقادیر زیر داشته باشیم

کد
syms x
A = [cos(4*x) 3*x ; x sin(5*x)]
diff(A)
که نتیجه زیر را برمی گرداند

                        
            
				 
            
