آموزش متلب قسمت 11: حل معادلات در متلب
حل یک سیستم معادلات با دو مجهول بسیار آسان است، اما زمانی که تعداد مجهولات از 2 بیشتر شود، حل سیستم معادلات پیچیده و زمان بر می شود.
در این تمرین قصد داریم به شما نشان دهیم که چگونه می توانید از کامپیوتر و Matlab برای حل یک سیستم معادلات متعدد استفاده کنید.
احتیاط: تکنیک زیر فقط زمانی کار می کند که تعداد معادلات و تعداد مجهولات یکسان باشد. ما فقط معادلات خطی را حل خواهیم کرد
آیا متلب می تواند یک سیستم معادلات را حل کند؟
بله، Matlab می تواند به شما کمک کند تا به راحتی یک سیستم معادلات را حل کنید. بیایید به چند مثال بپردازیم و به شما نشان دهیم که چگونه آن را انجام می دهید.
![]()
استفاده از Matlab برای حل یک سیستم معادله با دو مجهول
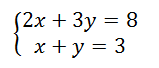
بیایید سیستم معادلات زیر را در نظر بگیریم

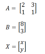
معادله فوق را می توان به صورت ماتریسی نوشت

معادله را می توان به صورت زیر بازنویسی کرد

اکنون قرار است از Matlab استفاده کنیم!
A=[2 3;1 1];
B=[8;3];
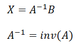
X=inv(A)*B
در انتهای خط آخر " ; " نمیگذاریم
پاسخی مانند این خواهید دید

که معنی زیر را میدهد

بیایید قبل ادامه کار در اینجا کمی با جزئیات بیشتر توضیح دهیم.
آنچه در بالا انجام دادیم موارد زیر است.
معادله را به شکل نوشته ایم

که بصورت زیر است

بنابراین در پایان معادله بصورت زیر است

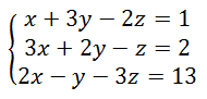
مثال 2: سیستم معادله با سه مجهول
بیایید سیستم معادلات زیر را در نظر بگیریم

با استفاده از همان تکنیکی که در بالا استفاده کردیم می توانیم سیستم را به شکل زیر بنویسیم

دادن دستورات به Matlab به شکل زیر خواهد بود
A=[1 3 -2;3 2 -1;2 -1 -3];
B=[1;2;13];
X=inv(A)*B
تا در نهایت به نتیجه زیر برسید

نتیجه گیری
اگر روی سیستمی از معادلات کار می کنید که تعداد مجهولات آن برابر با تعداد معادلات است، این روش راه خوبی است.
این محدودیت به این دلیل است که استفاده از سیستم ماتریس ها برای حل چنین سیستم معادلاتی مستلزم این است که ماتریس A معکوس باشد.
اگر هیچ امکانی برای یافتن inv(A) وجود نداشته باشد، این روش کاملاً بی فایده است.
                        
            
				 
            
